发电技术, 2024, 45(3): 535-544 DOI: 10.12096/j.2096-4528.pgt.23031

发电及环境保护

农林废弃物循环流化床空气气化特性实验研究

高忠明1, 朱德敖2, 陈雨佳2, 刘三举1, 王勤辉2

1.湖北华电襄阳发电有限公司,湖北省 襄阳市 441000

2.能源清洁利用国家重点实验室(浙江大学),浙江省 杭州市 310027

Experimental Study on the Air Gasification Characteristics of Agricultural and Forestry Waste in a Circulating Fluidized Bed

GAO Zhongming1, ZHU Deao2, CHEN Yujia2, LIU Sanju1, WANG Qinhui2

1.Hubei Huadian Xiangyang Power Generation Co. , Ltd. , Xiangyang 441000, Hubei Province, China

2.State Key Lab of Clean Energy Utilization (Zhejiang University), Hangzhou 310027, Zhejiang Province, China

收稿日期: 2023-03-09   修回日期: 2023-07-03  

基金资助: 中央高校基本科研业务费.  2022ZFJH004

Received: 2023-03-09   Revised: 2023-07-03  

作者简介 About authors

高忠明(1971),男,工程师,研究方向为电力生产及热能研究,1270499028@qq.com

朱德敖(1998),男,博士研究生,研究方向为生物质气化,zda1004@zju.edu.cn

陈雨佳(1993),男,硕士,工程师,研究方向为生物质流化床气化技术的工程应用研究及电子设备热管理,woshichenyj@163.com

刘三举(1973),男,高级工程师,研究方向为电厂锅炉检修、生物质气化及综合利用等,273117259@qq.com

王勤辉(1969),男,博士,教授,主要从事煤及生物质热解气化燃烧高效综合利用、气固两相流动特性测试及碳减排等技术的研发及应用,qhwang@zju.edu.cn

摘要

目的 考察生物质种类在不同参数下对循环流化床空气气化特性的影响,为宽燃料适应性的生物质循环流化床气化技术和生物质气化耦合燃煤发电技术提供相关数据参考。 方法 在自行搭建的小型常压循环流化床气化实验装置上,开展了以空气当量比(equivalent ratio,ER)、气化温度为参数,农林废弃物(稻壳、木屑、玉米秸秆和稻草)为原料的空气气化实验研究。 结果 稻壳、木屑、玉米秸秆和稻草气化气组分在不同空气当量比下的变化规律基本一致,随着空气当量比不断增加,稻壳、木屑、玉米秸秆和稻草的气化燃气低位热值和冷煤气效率均呈现先增后减的变化趋势,对于稻壳、木屑和玉米秸秆,ER为0.20时均为最优工况,最高冷煤气效率分别为46.19%、38.07%和37.71%;而对于稻草,ER为0.25时为最优工况,最高冷煤气效率可达39.55%;稻壳、木屑、玉米秸秆和稻草气化气组分中的三大可燃气体(CH4、CO、H2)在不同气化温度下的变化规律也一致,随着气化温度不断升高,稻壳、木屑、玉米秸秆和稻草的气化燃气低位热值和冷煤气效率也均呈现先增后减的变化趋势,其中稻壳和玉米秸秆冷煤气效率在气化温度为750 ℃时达到峰值,分别为46.19%和37.71%,而木屑和稻草在气化温度为760 ℃时达到峰值,分别为38.07%和37.56%。 结论 研究结果可为宽燃料适应性的生物质循环流化床气化技术和生物质气化耦合燃煤发电技术提供相关数据参考。

关键词: 农林废弃物 ; 生物质 ; 循环流化床 ; 空气气化 ; 空气当量比

Abstract

Objectives The effects of biomass types on the air gasification characteristics of circulating fluidized bed under different parameters were investigated, so as to provide relevant data reference for biomass circulating fluidized bed gasification technology with wide fuel adaptability and biomass gasification coupled coal-fired power generation technology. Methods An experimental study of air gasification with air equivalent ratio (ER) and gasification temperature as parameters and agricultural and forestry waste (rice husk, sawdust, corn stalk and rice straw) as feedstock, was carried out on a small atmospheric circulating fluidized bed. Results The change patterns of syngas components for rice husk, sawdust, corn stalk and rice straw at different air equivalent ratios are basically the same. When the air equivalent ratio increases, both the low calorific value and cold gas efficiency of syngas for rice husk, sawdust, corn stalk and rice straw have an increasing-decreasing trend. For the rice husk, sawdust and corn stalk, ER=0.20 is the optimum operating condition, and the highest cold gas efficiency is respectively 46.19%, 38.07%, and 38.07%. However, for rice straw, ER=0.25 is the optimum operating condition, and the maximum cold gas efficiency can reach 39.55 %. The change patterns of the three combustible gases (CH4, CO, H2) in the syngas components for rice husk, sawdust, corn stalk and rice straw is also consistent at different gasification temperatures. When the gasification temperature increases, the low calorific value and cold gas efficiency of syngas for rice husk, sawdust, corn stalk and rice straw also show an increasing-decreasing trend. For rice husk and corn stalk, T=750 ℃ is the optimum operating condition, and the highest cold gas efficiency is respectively 46.19% and 37.71%. However, for sawdust and rice straw, T=760 ℃ is the optimum operating condition, and the maximum cold gas efficiency can reach respectively 38.07% and 37.56%. Conclusions It can provide relevant data reference for biomass circulating fluidized bed gasification technology with wide fuel adaptability and biomass gasification coupled coal-fired power generation technology.

Keywords: agricultural and forestry waste ; biomass ; circulating fluidized bed ; air gasification ; air equivalent ratio

PDF (3669KB) 元数据 多维度评价 相关文章 导出 EndNote| Ris| Bibtex  收藏本文

本文引用格式

高忠明, 朱德敖, 陈雨佳, 刘三举, 王勤辉. 农林废弃物循环流化床空气气化特性实验研究. 发电技术[J], 2024, 45(3): 535-544 DOI:10.12096/j.2096-4528.pgt.23031

GAO Zhongming, ZHU Deao, CHEN Yujia, LIU Sanju, WANG Qinhui. Experimental Study on the Air Gasification Characteristics of Agricultural and Forestry Waste in a Circulating Fluidized Bed. Power Generation Technology[J], 2024, 45(3): 535-544 DOI:10.12096/j.2096-4528.pgt.23031

0 引言

在我国能源转型和碳达峰、碳中和的大背景下,具有天然碳中和零碳排放特性的生物质能源日益受到关注[1-4]。我国农林废弃物类生物质资源具有极大的开发潜力[5-7],但仍存在能源利用率不足的问题[8-9],大量丢弃后自然降解和露天焚烧会严重污染环境,亟需大规模能源化利用新技术。

生物质与燃煤耦合技术是一种新型的可再生能源利用形式[10],其避免了生物质直燃发电的低效率、高成本等劣势,同时有效依托煤电大机组且共燃率灵活度高[11]。生物质与燃煤耦合技术分为直接耦合、平行耦合以及间接耦合。其中,直接耦合对锅炉影响大且生物质发电无法计量,平行耦合投资成本高,间接耦合能够有效解决焦油问题,对锅炉影响小且生物质发电可计量。因此,间接耦合即生物质气化耦合燃煤发电技术日益受到重视[12-14],而循环流化床气化作为前端关键技术,其研究也日益受到关注。

在模拟研究方面,Mirmoshtaghi等人[15]利用PCA和PLS-R等多元分析工具对不同生物质循环流化床气化炉的输入参数和输出参数相关性进行了分析,结果表明,当量比、温度、生物质特性和床料等输入参数对循环流化床气化炉影响最大;Wahyudi等[16]利用多流体模型方法对三维全回路循环流化床进行了建模,并分析了空气当量比对生物质全回路循环流化床气化的影响,结果表明,该模型对合成气组成以及系统的传质传热有很好的预测能力。何深宇[17]利用Aspen plus软件模拟研究了空气当量比、水蒸气/稻壳质量比和气化剂温度对稻壳循环流化床气化特性的影响,结果表明,当空气当量比为0.2,水蒸气/稻壳质量比为0.3,气化剂温度为600 ℃时,气化效率最高。Miao等[18]构建了一个考虑流体动力学和化学反应动力学在内的生物质循环流化床自持气化综合新模型,结果表明,该模型能够对大型生物质循环流化床气化炉的整体性能进行良好的预测。在实验研究方面,Zhou等[19]在自行研制的隔板式内循环流化床气化炉中对生物质的循环气化性能进行了研究,结果表明:当量比为0.28时,稻壳的气化效率最大;当量比为0.25时,锯末的气化效率最大。董磊等人[20]在循环流化床气化炉中研究了空气当量比和水蒸气配比对废菌棒循环流化床气化特性的影响,结果表明:当空气当量比为0.26时,气化效率最大;当空气当量比为0.26、水蒸气配比为0.2时,气化效率和燃气热值都达到最大。高峰[21]在小型循环流化床中研究了空气当量比对棉花秆颗粒气化特性的影响,结果表明,空气当量比在0.20~0.22时为最优工况。常加富等[22]在带有二级返料系统的循环流化床中开展了空气当量比对玉米秸秆气化特性的影响研究,结果表明,当二级返料系统开启,空气当量比为0.26时,气化效率达到最高。陈雨佳[23]在小型循环流化床上针对空气当量比、气化温度和流化速度开展了典型生物质的空气气化正交实验研究,结果表明,空气当量比和气化温度对气化特性有显著影响。

然而,目前在相同实验条件下针对多种典型复杂多变特性农林废弃物类生物质进行循环流化床空气气化特性的对比研究鲜见报道,且由于空气作为气化剂价格便宜且常用于工业[24],故本文在自行搭建的小型循环流化床中对多种典型农林废弃物类生物质进行了以空气当量比和气化温度为因素的空气气化特性实验研究,从而为宽燃料适应性的生物质循环流化床气化技术和生物质气化耦合燃煤发电技术提供相关数据参考。

1 实验系统和研究方法

1.1 实验系统介绍

实验在自行搭建的小型常压循环流化床气化系统上进行,实验系统如图1所示,主要由循环流化床反应器本体、给料系统、供气系统、旋风分离系统、引风系统、返料机构、尾气净化系统以及分布式控制系统组成[25-26]。循环流化床反应器炉膛由陶瓷制成,下部内径为80 mm,给料段内径120 mm,整体高度为2 600 mm,并外绕4组电阻加热丝(1#、2#、3#和 4#)对炉膛进行保温。为提高炉膛保温能力,高温水泥和保温棉包在炉膛外围,最外层是钢壳。图中T-1—T-23为温度测点,P-1—P-3为压力测点。

图1

图1   小型常压循环流化床气化系统示意图

Fig. 1   Schematic diagram of small atmospheric circulating fluidized bed gasification system


1.2 实验原料及床料

实验所采用的农林废弃物原料分别为稻壳、木屑、玉米秸秆和稻草,实验前对原料进行自然晾干、破碎并碾磨至粉末状,过0.18 mm筛备用,其工业分析、元素分析和热值见表1,工业分析和元素分析分别按照国家标准GB/T 121—2008[27]和GB/T 476—2015[28]进行。

表1   农林废弃物原料成分分析

Tab. 1  Component analysis of agricultural and forestry waste

项目稻壳木屑玉米秸秆稻草

工业

分析

wad(M)/%5.8511.6610.302.24
wad(A)/%11.790.828.3918.84
wad(V)/%65.1372.0164.0262.40
wad(FC)/%17.2315.5117.2916.52
热值Qnet,ad/(J·g-1)15 15816 47214 35014 133

元素

分析

wad(C)/%41.7145.1340.6238.05
wad(H)/%4.764.544.224.64
wad(N)/%0.470.080.951.01
wad(S)/%0.160.180.300.24
wad(O)/%35.2637.5935.2234.98
wad(K)/%0.7670.0682.7312.336
wad(Na)/%0.0060.0070.0830.104

注:wad(M)、wad(A)、wad(V)、wad(FC)分别为收到基水分、灰分、挥发分、固定碳质量分数;wad(C)、wad(H)、wad(N)、wad(S)、wad(O)、wad(K)、wad(Na)分别为收到基C、H、N、S、O、K、Na元素的质量分数。

新窗口打开| 下载CSV


1.3 实验工况参数设置

为研究多种典型农林废弃物类生物质在以空气当量比ER和气化温度T为空气气化特性,实验工况参数设置采用控制变量法,具体见表23。另外,由于在前期实验中已确定最优的流化风速,故在实验中流化风速不变,为1.0 m/s。

表2   T=750 ℃条件下实验工况参数设置

Tab. 2  Experimental working condition parameter setting at 750 ℃

参数稻壳木屑玉米秸秆稻草

ER

0.150.160.150.18
0.200.200.200.20
0.250.250.250.25
0.300.300.300.30

新窗口打开| 下载CSV


表3   ER=0.2条件下实验工况参数设置

Tab. 2  Experimental working condition parameter setting under ER=0.2 condition

参数稻壳木屑玉米秸秆稻草
T/℃720720690690
750760720720
780800750750
810780780

新窗口打开| 下载CSV


1.4 实验方法及步骤

农林废弃物循环流化床空气气化实验按照以下步骤进行:1)从炉膛顶部向炉内加入一定量的床料,开启鼓风机和引风机,并控制压力平衡和炉膛送风量以实现冷态下的循环流化床运行;2)启动炉膛、返料立管以及气体预热器的电加热装置,使气化实验系统稳步升温;3)当炉膛温度升至600 ℃后,启动螺旋给料装置使生物质进入炉膛,同时调节给料量、送风量以及电阻加热丝加热功率,以达到实验指定的空气当量比和气化温度;4)当整个实验系统运行温度稳定后,利用Gasboard烟气分析仪在线分析炉膛出口气化气中的O2、N2、CO2、CO、NO x 和SO2等组分,以判断设定的气化实验工况是否达到稳定状态;5)待实验工况稳定运行30 min后,从气化炉炉顶取样收集气化气,气化气从出气口引出后,经多次过滤净化,得到干净的气化气后,用铝箔气袋进行收集,每隔5 min取样1次,每个工况总共取样3次,收集的干净气化气利用气相色谱仪分析其中的精确组分;6)实验结束后,关闭给料装置和各电加热装置,继续通风以冷却炉膛,待炉膛冷却至150 ℃以下,关闭鼓、引风机和各电源。

2 实验结果与讨论

2.1 空气当量比对气化特性的影响

2.1.1 当量比对气化气组分的影响

不同空气当量比下稻壳、木屑、玉米秸秆和稻草气化气成分的变化规律如图2所示。可知,稻壳、木屑、玉米秸秆和稻草气化气中的可燃组分随ER的增加而先增后减,当ER=0.20时达到峰值,与Skoulou等人[29]的实验结果一致。另外,空气当量比对稻壳、木屑、玉米秸秆和稻草气化气组分的变化规律影响基本一致:CO体积分数随空气当量比的增加而先增后减,CO2体积分数随空气当量比的增加而不断增加,CH4和C n H m 体积分数随当量比的增加都呈现不断下降的趋势。前期实验研究表明,空气气化产物中焦油含量较低,仅在3~5 mg/L,因此在实验中未对每个工况的气化产物中焦油含量进行单独测定。

图2

图2   空气当量比对气化气组分的影响

Fig. 2   Effect of air equivalent ratio on gas components


分析其原因,主要是当空气当量比小于0.20时,氧气的供给增强反应2C+O2→2CO,促使CO体积分数不断增加,但随着空气当量比的进一步增大,氧气的供给则增强反应C+O2→CO2,促使CO体积分数不断减小。而对于CO2,随着空气当量比的不断增加,单位质量生物质与更多的氧气反应,2C n H m +(2n+m/2)O2→2nCO2+mH2O、C+O2→CO2及CH4+2O2→CO2+2H2O燃烧反应不断增强,可燃气体不断被氧化燃烧,促使CO2体积分数不断增强,这一点可由CH4、C n H m 以及H2体积分数随空气当量比的不断增加而不断下降所验证。

2.1.2 当量比对热值及产气率的影响

在不同空气当量比下稻壳、木屑、玉米秸秆、稻草气化燃气低位热值及产气率的变化规律分别如图34所示。

图3

图3   空气当量比对气化气低位热值的影响

Fig. 3   Effect of air equivalent ratio on low calorific value of gas


图4

图4   空气当量比对气化产气率的影响

Fig. 4   Effect of air equivalent ratio on gas yield rate of gas


图3可知,稻壳、木屑、玉米秸秆和稻草气化燃气低位热值随着空气当量比的增加均先增后减,当ER=0.20时达到峰值,分别为5 985、5 404、5 159、5 493 kJ/m3。分析其原因,主要是由于可燃气体组分体积分数占比随空气当量比的增加而呈现同样的变化趋势。由图4可知,稻壳、木屑、玉米秸秆和稻草气化产气率随着空气当量比的增加均不断上升。

2.1.3 当量比对碳转化率及冷煤气效率的影响

不同空气当量比下稻壳、木屑、玉米秸秆、稻草气化碳转化率及冷煤气效率的变化规律分别如图56所示。

图5

图5   空气当量比对气化碳转化率的影响

Fig. 5   Effect of air equivalent ratio on carbon conversion rate


图6

图6   空气当量比对气化冷煤气效率的影响

Fig. 6   Effect of air equivalent ratio on cold gas efficiency


图5可知,稻壳、木屑、玉米秸秆和稻草气化碳转化率随着空气当量比的增加均不断上升,这是由于随空气当量比的增加,单位质量生物质能与更多的氧气反应,氧化份额不断增加,固定碳也更多地进入气相并参与后期一系列反应。由图6可知,稻壳、木屑、玉米秸秆和稻草气化冷煤气效率随着空气当量比的增加均先增后减,但稻壳、木屑和玉米秸秆气化冷煤气效率在ER=0.2时达到峰值,分别为46.16%、38.07%和37.71%,而稻草气化冷煤气效率在ER=0.25时达到峰值39.55%,仅比ER=0.20时的气化冷煤气效率高0.58%。

2.2 气化温度对气化特性的影响

2.2.1 气化温度对气化气组分的影响

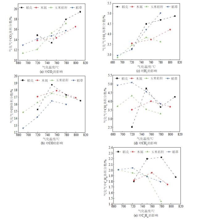
在研究气化温度对气化特性的影响时,由于各生物质的灰熔点存在区别,故温度取值存在差异,但温度区间有重合,故不影响对比分析。不同气化温度下稻壳、木屑、玉米秸秆和稻草气化气成分的变化规律见图7。由图7可知,稻壳、木屑、玉米秸秆和稻草气化气中的CO体积分数随气化温度的增加均先增后减,其中稻壳、玉米秸秆和稻草气化气中的CO体积分数在750 ℃时达到峰值,而木屑气化气中的CO体积分数在760 ℃时达到峰值。分析其原因,一方面,CO主要来自放热反应2C+O2→2CO,温度的升高不利于CO的生成;另一方面,随着温度的升高,还原反应C+CO2→2CO的反应速率不断增加,消耗CO2的同时也产生一定量的CO。对于CO2,温度的升高有利于增加燃烧反应CH4+2O2→CO2+2H2O、C+O2→CO2、2C n H m +(2n+m/2)O2→2nCO2+mH2O的反应速率,促进CO2的生成,但也增加还原反应C+CO2→2CO的反应速率,促进CO2的消耗。故稻壳气化气中CO2体积分数随气化温度升高呈现先减后增的趋势,而其他生物质气化气中CO2体积分数随气化温度升高而不断增加。稻壳、木屑、和稻草气化气中的H2随气化温度的升高均呈现不断增加的变化趋势。分析其原因,一方面,生物质自然晾干含有一定水分,温度的升高有助于CH4+H2O→CO+3H2、CH4+2H2O→CO2+4H2和C n H m +nH2O→nCO+(m/2+n)H2反应速率的增加,从而促使H2体积分数不断上升;另一方面,生物质中的木质素在较高温度下能分解出H2和焦油[30]。另外,对于秸秆类生物质(如玉米秸秆),烧结温度较低,在780 ℃时都出现了结渣团聚现象,故后期H2体积分数有所下降。

图7

图7   不同气化温度对气化气组分的影响

Fig. 7   Effect of gasification temperature on gas components


稻壳、木屑、玉米秸秆和稻草气化气中CH4的体积分数基本都随气化温度的上升呈现先增后减的趋势,原因可解释为:CH4主要来源于生物质的热解和烃类的分解,气化温度的上升有助于其体积分数的增加,但也有助于提升蒸汽重整反应CH4+H2O→CO+3H2和CH4+2H2O→CO2+4H2的反应速率,促使其体积分数下降。

稻壳、木屑和稻草气化气中的C n H m 体积分数随气化温度升高均呈现先增后减的变化趋势,而玉米秸秆气化气中的C n H m 体积分数随气化温度升高不断下降。分析其原因,主要受2方面作用影响:一方面,烃类C n H m 主要来源于生物质的热解,气化温度的上升有助于其体积分数的增加;另一方面,气化温度的升高有助于焦油二次分解反应速率的增强,促使其体积分数下降。

2.2.2 气化温度对热值和产气率的影响

不同气化温度下稻壳、木屑、玉米秸秆、稻草气化燃气低位热值及产气率的变化规律分别如图8图9所示。由图8可知,稻壳、木屑、玉米秸秆和稻草气化燃气低位热值随气化温度的增加均呈现先增后减的变化趋势,但转折点有所不同。对于玉米秸秆,气化温度为720 ℃时达到峰值;对于稻壳,气化温度为750 ℃时达到峰值,对于木屑和稻草,气化温度为760 ℃时达到峰值。分析其原因,主要是三大可燃组分(H2、CO、CH4)低位热值的协调作用。

图8

图8   气化温度对气化燃气低位热值的影响

Fig. 8   Effect of temperature on low calorific value


图9

图9   气化温度对气化产气率的影响

Fig. 9   Effect of temperature on gas yield rate of gas


图9可知,稻壳和稻草气化产气率随气化温度的增加均呈先增后减的变化趋势,而木屑和玉米秸秆气化产气率随气化温度的增加均呈现不断增加的变化趋势。分析其原因,一方面,温度的升高促进气化反应的进行,从而使CO、H2、CH4和C n H m 等气体组分有所增加,同时也加强了焦油的二次反应,促使CH4和C n H m 等气体的生成;另一方面,玉米秸秆和稻草烧结温度较低,高温下的结渣团聚效应也会使生物质气化产气率有所降低。这一点与玉米秸秆后期产气率增加率有所降低,稻草后期产气率有所下降的结果一致。

2.2.3 温度对碳转化率和冷煤气效率的影响

不同气化温度下稻壳、木屑、玉米秸秆、稻草气化碳转化率及冷煤气效率的变化规律分别如图1011所示。由图10可知,稻壳、木屑、玉米秸秆气化碳转化率随气化温度的增加均呈不断增加的趋势,且后期增加率有所降低;而稻草气化碳转化率随气化温度的增加呈先增后减的趋势。

图10

图10   气化温度对气化碳转化率的影响

Fig. 10   Effect of temperature on carbon conversion rate


图11

图11   气化温度对气化冷煤气效率的影响

Fig. 11   Effect of temperature on cold gas efficiency


分析其原因,主要是气化温度的升高有助于提升反应速率,导致挥发分快速析出,焦油二次分解速率增强,同时使固定碳更多地进入气相且参与后续一系列反应。另外,后期产气率增加率降低,主要是由于高温结渣团聚效应。由图11可知,稻壳、木屑、玉米秸秆和稻草气化冷煤气效率随气化温度的增加均呈先升后降的变化趋势,且转折点有所不同,稻壳和玉米秸秆在气化温度为750 ℃时达到最大值,而木屑和稻草在气化温度为760 ℃时达到最大值。由于冷煤气效率与气化燃气低位热值、气化产气率的乘积有关,故其变化规律也与这2个量的协同作用相关。

3 结论

1)随空气当量比不断增加,稻壳、木屑、玉米秸秆和稻草气化气组分中的CO体积分数均先增后减,CO2体积分数均不断增加,CH4和C n H m 体积分数均不断下降。随气化温度不断上升,稻壳、木屑、玉米秸秆和稻草气化气组分中的CO和CH4体积分数均先增后减。

2)随空气当量比不断增加,稻壳、木屑、玉米秸秆和稻草气化燃气低位热值均先增后减,产气率均不断上升;随气化温度不断上升,稻壳、木屑、玉米秸秆和稻草气化燃气低位热值也均先增后减,且木屑和玉米秸秆产气率均不断上升,而稻壳和稻草产气率均先增后减。

3)随空气当量比不断增加,稻壳、木屑、玉米秸秆和稻草气化碳转化率均不断上升,气化冷煤气效率均先增后减,其中稻壳、木屑和玉米秸秆气化冷煤气效率在ER=0.20时达到峰值,而稻草气化冷煤气效率在ER=0.25时达到峰值;随气化温度不断上升,稻壳、木屑、玉米秸秆和稻草气化冷煤气效率均先升后降,但转折点有所不同,稻壳和玉米秸秆在气化温度为750 ℃时达到最大值,而木屑和稻草在气化温度为760 ℃时达到最大值。

参考文献

郑妍姚宣陈训强

生物质气化耦合发电体系的合成气组分与能量分析

[J].发电技术,202344(6):859-864doi:10.12096/j.2096-4528.pgt.22164

[本文引用: 1]

ZHENG YYAO XCHEN X Qet al

Analysis of syngas components and energy in biomass gasification coupled power generation system

[J].Power Generation Technology,202344(6):859-864doi:10.12096/j.2096-4528.pgt.22164

[本文引用: 1]

王永利韩煦刘晨

基于生-光耦合利用的乡村电-热综合能源系统规划

[J].电力建设,202344(3):1-14

WANG Y LHAN XLIU Cet al

Rural electricity-heat integrated energy system planning based on coupling utilization of biomass and solar resources

[J].Electric Power Construction,202344(3):1-14

朱骏杰管俊豪岳子尧

燃煤机组直接耦合生物质的模型构建与碳减排分析

[J].内蒙古电力技术,202341(6):17-25

ZHU J JGUAN J HYUE Z Yet al

Model construction and carbon emission reduction analysis of direct coupling of biomass in coal-fired unit

[J].Inner Mongolia Electric Power,202341(6):17-25

臧海祥马铭欣周亦洲

电力市场环境下风电-光热-生物质混合电站鲁棒优化调度模型

[J].电力系统保护与控制,202250(5):1-11

[本文引用: 1]

ZANG H XMA M XZHOU Y Zet al

Robust optimal scheduling model for a wind power-concentrating solar power-biomass hybrid power plant in the electricity market

[J].Power System Protection and Control,202250(5):1-11

[本文引用: 1]

CHEN X

Economic potential of biomass supply from crop residues in China

[J].Applied Energy,2016166141-149doi:10.1016/j.apenergy.2016.01.034

[本文引用: 1]

QIN Z CZHUANG Q LCAI X Met al

Biomass and biofuels in China:toward bioenergy resource potentials and their impacts on the environment

[J].Renewable & Sustainable Energy Reviews,2018822387-2400doi:10.1016/j.rser.2017.08.073

国家能源局

生物质能发展“十三五”规划

[EB/OL].(2018-02-05)[2023-02-25]..

[本文引用: 1]

National Energy Administration

13th Five-Year Plan of biomass energy development

[EB/OL].(2018-02-05) [2023-02-25]..

[本文引用: 1]

HE JLIU YLIN B

Should China support the development of biomass power generation

[J].Energy,2018163416-425doi:10.1016/j.energy.2018.08.136

[本文引用: 1]

姚金楠

我国生物质能源化利用潜力约4.6亿吨标煤

[N].中国能源报,2021-09-20(19).

[本文引用: 1]

YAO J N

China’s biomass,equivalent to 460 million tons of standard coal,have the enormous potential for energy utilization

[N].China Energy News,2021-09-20(19).

[本文引用: 1]

毛健雄

燃煤耦合生物质发电

[J].分布式能源,20172(5):47-54

[本文引用: 1]

MAO J X

Co-firing biomass with coal for power generation

[J].Distributed Energy,20172(5):47-54

[本文引用: 1]

MORY AZOTTER T.

EU-demonstration project BioCoComb for biomass gasification and co-combustion of the product-gas in a coal-fired power plant in Austria

[J].Biomass Bioenergy,199815(3):239-244doi:10.1016/s0961-9534(98)00026-9

[本文引用: 1]

马务盛昌栋

基于循环流化床气化的间接耦合生物质发电技术应用现状

[J].热力发电,201948(4):1-7

[本文引用: 1]

MA WSHENG C D

Application status of indirect biomass co-firing power generation technologies based on circulating fluidized bed gasification

[J].Thermal Power Generation,201948(4):1-7

[本文引用: 1]

BASU P

Biomass gasification,pyrolysis and torrefaction

[M].3d Edition. Academic Press2018393-413doi:10.1016/b978-0-12-812992-0.00011-x

LOHA CCHATTOPADHYAY HCHATTERJEE PKet alCo-firing of biomass to reduce CO2 emission[M].Amsterdam,The NetherlandsElsevier20201-10doi:10.1016/b978-0-12-803581-8.11006-9

[本文引用: 1]

MIRMOSHTAGHI GSKVARIL CCAMPANA E Pet al

The influence of different parameters on biomass gasification in circulating fluidized bed gasifiers

[J].Energy Conversion & Management,2016126110-123doi:10.1016/j.enconman.2016.07.031

[本文引用: 1]

WAHYUDI HROSYADI IPINEM M P

Eulerian multi-fluid simulation of biomass gasification in circulating fluidized beds:effects of equivalence ratio

[J].IOP Conference Series of Mater Science Engineering,201950812067doi:10.1088/1757-899x/508/1/012067

[本文引用: 1]

何深宇

循环流化床稻壳气化特性模拟研究

[D].沈阳沈阳工程学院2021

[本文引用: 1]

HE S Y

Gasification characteristics of rice husk in circulating fluidized bed

[D].ShenyangShenyang Institute of Engineering2021

[本文引用: 1]

MIAO QZHU JBARGHI Set al

Modeling biomass gasification in circulating fluidized beds

[J].International Journal of Energy & Power,20132(3):57-63

[本文引用: 1]

ZHOU ZMA LYIN Xet al

Study on biomass circulation and gasification performance in a clapboard-type internal circulating fluidized bed gasifier

[J].Biotechnology Advances,200927(5):612-615doi:10.1016/j.biotechadv.2009.04.016

[本文引用: 1]

董磊常加富杜巍涛

废食用菌棒循环流化床气化试验

[J].化工进展,202039(7):2606-2611doi:10.16085/j.issn.1000-6613.2019-1792

[本文引用: 1]

DONG LCHANG J FDU W Tet al

Experiment of gasification of edible fungi residues in circulating fluidized-bed

[J].Chemical Industry and Engineering Progress,202039(7):2606-2611doi:10.16085/j.issn.1000-6613.2019-1792

[本文引用: 1]

高峰

棉花杆颗粒循环流化床气化特性研究

[D].杭州浙江大学2018

[本文引用: 1]

GAO F

Gasification characteristics of cotton rod pellets in circulating fluidized bed

[D].HangzhouZhejiang University2018

[本文引用: 1]

常加富徐鹏举刘兆远.

玉米秸秆循环流化床气化炉气化工艺参数优化

[J].农业工程学报,201935(5):226-233doi:10.11975/j.issn.1002-6819.2019.05.028

[本文引用: 1]

CHANG J FXU P JLIU Z Yet al

Process parameter optimization for gasification of corn stalk in circulating fluidized bed gasifier

[J].Transactions of the Chinese Society of Agricultural Engineering,201935(5):226-233doi:10.11975/j.issn.1002-6819.2019.05.028

[本文引用: 1]

陈雨佳

典型生物质循环流化床气化特性实验研究

[D].杭州浙江大学2019

[本文引用: 1]

CHENY J

Experimental research on typical biomass gasification characteristics in a circulated fluidized bed

[D].HangzhouZhejiang University2019

[本文引用: 1]

GÁLVEZ-PÉREZ AMARTÍN-LARA MCALERO Met al

Experimental investigation on the air gasification of olive cake at low temperatures

[J].Fuel Processing Technology,2021213106703doi:10.1016/j.fuproc.2020.106703

[本文引用: 1]

叶超

煤炭部分气化分级转化关键技术的研究

[D].杭州浙江大学2018doi:10.1016/j.applthermaleng.2017.11.071

[本文引用: 1]

YE C

Research on the key issue of coal partial gasification technology

[D].HangzhouZhejiang University2018doi:10.1016/j.applthermaleng.2017.11.071

[本文引用: 1]

陈雨佳王勤辉王中霞

秸秆循环流化床空气气化特性的实验研究

[J].动力工程学报,201939(10):847-852

[本文引用: 1]

CHEN Y JW ANG Q HWANG Z Xet al

Experimental research on straw gasification characteristics in a circulated fluidized bed

[J].Journal of Chinese Society of Power Engineering,201939(10):847-852

[本文引用: 1]

.Proximate analysis of coal [S].BeijingStandards Press of China2008doi:10.1007/s12404-008-0043-z

[本文引用: 1]

.Ultimate analysis of coal [S].BeijingStandards Press of China2015doi:10.1002/9781119037699.ch6

[本文引用: 1]

SKOULOU VKOUFODIMOS GSAMARAS Zet al

Low temperature gasification of olive kernels in a 5 kW fluidized bed reactor for H2-rich producer gas

[J].International Journal of Hydrogen Energy,200833(22):6515-6524doi:10.1016/j.ijhydene.2008.07.074

[本文引用: 1]

XIE HYU QQIN Qet al

Study on pyrolysis characteristics and kinetics of biomass and its components

[J].Journal of Renewable & Sustainable Energy,20135(1):493doi:10.1063/1.4792845

[本文引用: 1]

/